Advanced Calculations#

Large Calculations in Classical PSHA#

Running large hazard calculations, especially ones with large logic trees, is an art, and there are various techniques that can be used to reduce an impossible calculation to a feasible one.

Reducing a calculation#

The first thing to do when you have a large calculation is to reduce it so that it can run in a reasonable amount of time. For instance you could reduce the number of sites, by considering a small geographic portion of the region interested, of by increasing the grid spacing. Once the calculation has been reduced, you can run it and determine what are the factors dominating the run time.

As we discussed in section about common mistakes, you may want to tweak the quadratic parameters (maximum_distance, area_source_discretization, rupture_mesh_spacing, complex_fault_mesh_spacing). Also, you may want to choose different GMPEs, since some are faster than others. You may want to play with the logic tree, to reduce the number of realizations: this is especially important, in particular for event based calculation were the number of generated ground motion fields is linear with the number of realizations.

Once you have tuned the reduced computation, you can have an idea of the time required for the full calculation. It will be less than linear with the number of sites, so if you reduced your sites by a factor of 100, the full computation will take a lot less than 100 times the time of the reduced calculation (fortunately). Still, the full calculation can be impossible because of the memory/data transfer requirements, especially in the case of event based calculations. Sometimes it is necessary to reduce your expectations. The examples below will discuss a few concrete cases. But first of all, we must stress an important point:

Our experience tells us that THE PERFORMANCE BOTTLENECKS OF THE
REDUCED CALCULATION ARE OFTEN DIFFERENT FROM THE BOTTLENECKS OF
THE FULL CALCULATION. Do not trust your performance intuition.

Classical PSHA for Europe (SHARE)#

Suppose you want to run a classical PSHA calculation for the latest model for Europe and that it turns out to be too slow to run on your infrastructure. Let’s say it takes 4 days to run. How do you proceed to reduce the computation time?

The first thing that comes to mind is to tune the area_source_discretization parameter, since the calculation (as most calculations) is dominated by area sources. For instance, by doubling it (say from 10 km to 20 km) we would expect to reduce the calculation time from 4 days to just 1 day, a definite improvement.

But how do we check if the results are still acceptable? Also, how we check that in less than 4+1=5 days? As we said before we have to reduce the calculation and the engine provides several ways to do that.

If you want to reduce the number of sites, IMTs and realizations you can:

  • manually change the sites.csv or site_model.csv files

  • manually change the region_grid_spacing

  • manually change the intensity_measure_types_and_levels variable

  • manually change the GMPE logic tree file by commenting out branches

  • manually change the source logic tree file by commenting out branches

  • use the environment variable OQ_SAMPLE_SITES

  • use the environment variable OQ_REDUCE

Starting from engine 3.11 the simplest approach is to use the OQ_REDUCE environment variable than not only reduce reduces the number of sites, but also reduces the number of intensity measure types (it takes the first one only) and the number of realizations to just 1 (it sets number_of_logic_tree_samples=1) and if you are in an event based calculation reduces the parameter ses_per_logic_tree_path too. For instance the command:

$ OQ_REDUCE=.01 oq engine --run job.ini

will reduce the number of sites by 100 times by random sampling, as well a reducing to 1 the number of IMTs and realizations. As a result the calculation will be very fast (say 1 hour instead of 4 days) and it will possible to re-run it multiple times with different parameters. For instance, you can test the impact of the area source discretization parameter by running:

$ OQ_REDUCE=.01 oq engine --run job.ini --param area_source_discretization=20

Then the engine provides a command oq compare to compare calculations; for instance:

$ oq compare hmaps PGA -2 -1 --atol .01

will compare the hazard maps for PGA for the original (ID=-2, area_source_discretization=10 km) and the new calculation (ID=-2, area_source_discretization=20 km) on all sites, printing out the sites where the hazard values are different more than .01 g (--atol means absolute tolerence). You can use oq compare --help to see what other options are available.

If the call to oq compare gives a result:

There are no differences within the tolerances atol=0.01, rtol=0%, sids=[...]

it means that within the specified tolerance the hazard is the same on all the sites, so you can safely use the area discretization of 20 km. Of course, the complete calculation will contain 100 times more sites, so it could be that in the complete calculation some sites will have different hazard. But that’s life. If you want absolute certitude you will need to run the full calculation and to wait. Still, the reduced calculation is useful, because if you see that are already big differences there, you can immediately assess that doubling the area_source_discretization parameter is a no go and you can try other strategies, like for instance doubling the width_of_mfd_bin parameter.

As of version 3.11, the oq compare hmaps command will give an output like the following, in case of differences:

site_id calc_id 0.5     0.1     0.05    0.02    0.01    0.005
======= ======= ======= ======= ======= ======= ======= =======
767     -2      0.10593 0.28307 0.37808 0.51918 0.63259 0.76299
767     -1      0.10390 0.27636 0.36955 0.50503 0.61676 0.74079
======= ======= ======= ======= ======= ======= ======= =======
===== =========
poe   rms-diff
===== =========
0.5   1.871E-04
0.1   4.253E-04
0.05  5.307E-04
0.02  7.410E-04
0.01  8.856E-04
0.005 0.00106
===== =========

This is an example with 6 hazard maps, for poe = .5, .1, .05, .02, .01 and .005 respectively. Here the only site that shows some discrepancy if the site number 767. If that site is in Greenland where nobody lives one can decide that the approximation is good anyway ;-) The engine also report the RMS-differences by considering all the sites, i.e.:

rms-diff = sqrt<(hmap1 - hmap2)^2> # mediating on all the sites

As to be expected, the differences are larger for maps with a smaller poe, i.e. a larger return period. But even in the worst case the RMS difference is only of 1E-3 g, which is not much. The complete calculation will have more sites, so the RMS difference will likely be even smaller. If you can check the few outlier sites and convince yourself that they are not important, you have succeeded in doubling the speed on your computation. And then you can start to work on the other quadratic and linear parameter and to get an ever bigger speedup!

Collapsing the GMPE logic tree#

Some hazard models have GMPE logic trees which are insanely large. For instance the GMPE logic tree for the latest European model (ESHM20) contains 961,875 realizations. This causes two issues:

  1. it is impossible to run a calculation with full enumeration, so one must use sampling

  2. when one tries to increase the number of samples to study the stability of the mean hazard curves, the calculation runs out of memory

Fortunately, it is possible to compute the exact mean hazard curves by collapsing the GMPE logic tree. This is a simple as listing the name of the branchsets in the GMPE logic tree that one wants to collapse. For instance in the case of ESHM20 model there are the following 6 branchsets:

  1. Shallow_Def (19 branches)

  2. CratonModel (15 branches)

  3. BCHydroSubIF (15 branches)

  4. BCHydroSubIS (15 branches)

  5. BCHydroSubVrancea (15 branches)

  6. Volcanic (1 branch)

By setting in the job.ini the following parameters:

number_of_logic_tree_samples = 0
collapse_gsim_logic_tree = Shallow_Def CratonModel BCHydroSubIF BCHydroSubIS BCHydroSubVrancea Volcanic

it is possible to collapse completely the GMPE logic tree, i.e. going from 961,875 realizations to 1. Then the memory issues are solved and one can assess the correct values of the mean hazard curves. Then it is possible to compare with the value produce with sampling and assess how much they can be trusted.

NB: the collapse_gsim_logic_tree feature is rather old but only for engine versions >=3.13 it produces the exact mean curves (using the AvgPoeGMPE); otherwise it will produce a different kind of collapsing (using the AvgGMPE).

Disaggregation by source disagg_by_src#

Given a system of various sources affecting a specific site, one very common question to ask is: what are the more relevant sources, i.e. which sources contribute the most to the mean hazard curve? The engine is able to answer such question by setting the disagg_by_src flag in the job.ini file. When doing that, the engine saves in the datastore a 4-dimensional ArrayWrapper called mean_rates_by_src with dimensions (site ID, intensity measure type, intensity measure level, source ID). From that it is possible to extract the contribution of each source to the mean hazard curve (interested people should look at the code in the function check_disagg_by_src). The ArrayWrapper mean_rates_by_src can also be converted into a pandas DataFrame, then getting something like the following:

>> dstore['mean_rates_by_src'].to_dframe().set_index('src_id')
               site_id  imt  lvl         value
ASCTRAS407           0  PGA    0  9.703749e-02
IF-CFS-GRID03        0  PGA    0  3.720510e-02
ASCTRAS407           0  PGA    1  6.735009e-02
IF-CFS-GRID03        0  PGA    1  2.851081e-02
ASCTRAS407           0  PGA    2  4.546237e-02
...                ...  ...  ...           ...
IF-CFS-GRID03        0  PGA   17  6.830692e-05
ASCTRAS407           0  PGA   18  1.072884e-06
IF-CFS-GRID03        0  PGA   18  1.275539e-05
ASCTRAS407           0  PGA   19  1.192093e-07
IF-CFS-GRID03        0  PGA   19  5.960464e-07

The value field here is the probability of exceedence in the hazard curve. The lvl field is an integer corresponding to the intensity measure level in the hazard curve.

In engine 3.15 we introduced the so-called “colon convention” on source IDs: if you have many sources that for some reason should be collected together - for instance because they all account for seismicity in the same tectonic region, or because they are components of a same source but are split into separate sources by magnitude - you can tell the engine to collect them into one source in the mean_rates_by_src matrix. The trick is to use IDs with the same prefix, a colon, and then a numeric index. For instance, if you had 3 sources with IDs src_mag_6.65, src_mag_6.75, src_mag_6.85, fragments of the same source with different magnitudes, you could change their IDs to something like src:0, src:1, src:2 and that would reduce the size of the matrix mean_rates_by_src by 3 times by collecting together the contributions of each source. There is no restriction on the numeric indices to start from 0, so using the names src:665, src:675, src:685 would work too and would be clearer: the IDs should be unique, however.

If the IDs are not unique and the engine determines that the underlying sources are different, then an extension “semicolon + incremental index” is automatically added. This is useful when the hazard modeler wants to define a model where the more than one version of the same source appears in one source model, having changed some of the parameters, or when varied versions of a source appear in each branch of a logic tree. In that case, the modeler should use always the exact same ID (i.e. without the colon and numeric index): the engine will automatically distinguish the sources during the calculation of the hazard curves and consider them the same when saving the array mean_rates_by_src: you can see an example in the test qa_tests_data/classical/case_20/job_bis.ini in the engine code base. In that case the source_info dataset will list 7 sources CHAR1;0 CHAR1;1 CHAR1;2 COMFLT1;0 COMFLT1;1 SFLT1;0 SFLT1;1 but the matrix mean_rates_by_src will see only three sources CHAR1 COMFLT1 SFLT1 obtained by composing together the versions of the underlying sources.

In version 3.15 mean_rates_by_src was extended to work with mutually exclusive sources, i.e. for the Japan model. You can see an example in the test qa_tests_data/classical/case_27. However, the case of mutually exclusive ruptures - an example is the New Madrid cluster in the USA model - is not supported yet.

In some cases it is tricky to discern whether use of the colon convention or identical source IDs is appropriate. The following list indicates several possible cases that a user may encounter, and the appropriate approach to assigning source IDs. Note that this list includes the cases that have been tested so far, and is not a comprehensive list of all cases that may arise.

  1. Sources in the same source group/source model are scaled alternatives of each other. For example, this occurs when for a given source, epistemic uncertainties such as occurrence rates or geometries are considered, but the modeller has pre-scaled the rates rather than including the alternative hypothesis in separate logic tree branches.

    Naming approach: identical IDs.

  2. Sources in different files are alternatives of each other, e.g. each is used in a different branch of the source model logic tree.

    Naming approach: identical IDs.

  3. A source is defined in OQ by numerous sources, either in the same file or different ones. For example, one could have a set of non-parametric sources, each with many ruptures, that are grouped together into single files by magnitude. Or, one could have many point sources that together represent the seismicity from one source.

    Naming approach: colon convention

  4. One source consists of many mutually exclusive sources, as in qa_tests_data/classical/case_27.

    Naming approach: colon convention

Cases 1 and 2 could include include more than one source typology, as in qa_tests_data/classical/case_79.

NB: disagg_by_src can be set to true only if the ps_grid_spacing approximation is disabled. The reason is that the ps_grid_spacing approximation builds effective sources which are not in the original source model, thus breaking the connection between the values of the matrix and the original sources.

The post-processing framework and Vector-valued PSHA calculations#

Since version 3.17 the OpenQuake engine has special support for custom postprocessors. A postprocessor is a Python module located in the directory openquake/calculators/postproc and containing a main function with signature:

def main(dstore, [csm], ...):
    ...

Post-processors are called after a classical or preclassical calculation: the dstore parameter is a DataStore instance corresponding to the calculation, while the csm parameter is a CompositeSourceModel instance (it can be omitted if not needed).

The main function is called when the user sets in the job.ini file the parameters postproc_func and postproc_args. postproc_func is the dotted name of the postprocessing function (in the form modulename.funcname where funcname is normally main) and postproc_args is a dictionary of literal arguments that get passed to the function; if not specified the empty dictionary is passed. This happens for instance for the conditional spectrum post-processor since it does not require additional arguments with respect to the ones in dstore['oqparam'].

The post-processing framework was put in place in order to run VPSHA calculations. The user can find an example in qa_tests_data/postproc/case_mrd. In the job.ini file there are the lines:

postproc_func = compute_mrd.main
postproc_args = {
  'imt1': 'PGA',
  'imt2': 'SA(0.05)',
  'cross_correlation': 'BakerJayaram2008',
  'seed': 42,
  'meabins': [0.1, 0.2, 0.3, 0.4, 0.5, 0.6],
  'sigbins': [0.2, 0.3, 0.4, 0.5, 0.6, 0.7],
  'method': 'indirect'}

while the postprocessor module openquake.calculators.postproc.compute_mrd contains the function:

# inside openquake.calculators.postproc.compute_mrd
def main(dstore, imt1, imt2, cross_correlation, seed, meabins, sigbins,
         method='indirect'):
    ...

Inside main there is code to create the dataset mrd which contains the Mean Rate Distribution as an array of shape L1 x L1 x N where L1 is the number of levels per IMT minus 1 and N the number of sites (normally 1).

While the postprocessing part for VPSHA calculations is computationally intensive, it is much more common to have a light postprocessing, i.e. faster than the classical calculation it depends on. In such situations the postprocessing framework really shines, since it is possible to reuse the original calculation via the standard --hc switch, i.e. you can avoid repeating multiple times the same classical calculation if you are interested in running the postprocessor with different parameters. In that situation the main function will get a DataStore instance with an attribute parent corresponding to the DataStore of the original calculation.

The postprocessing framework also integrates very well with interactive development (think of Jupyter notebooks). The following lines are all you need to create a child datastore where the postprocessing function can store its results after reading the data from the calculation datastore:

>> from openquake.commonlib.datastore import read, create_job_dstore
>> from openquake.calculators.postproc import mypostproc
>> log, dstore = create_job_dstore(parent=read(calc_id))
>> with log:
..     mypostproc.main(dstore)

The conditional spectrum post-processor#

Since version 3.17 the engine includes an experimental post-processor which is able to compute the conditional spectrum.

The implementation was adapted from the paper Conditional Spectrum Computation Incorporating Multiple Causal Earthquakes and Ground-Motion Prediction Models by Ting Lin, Stephen C. Harmsen, Jack W. Baker, and Nicolas Luco (http://citeseerx.ist.psu.edu/viewdoc/download?doi=10.1.1.845.163&rep=rep1&type=pdf) and it is rather sophisticated.

In order to perform a conditional spectrum calculation you need to specify, in addition to the usual parameter of a classical calculation:

  1. a reference intensity measure type (i.e. imt_ref = SA(0.2))

  2. a cross correlation model (i.e. cross_correlation = BakerJayaram2008)

  3. a set of poes (i.e. poes = 0.01 0.1)

The engine will compute a mean conditional spectrum for each poe and site, as well as the usual mean uniform hazard spectra. The following restrictions are enforced:

  1. the IMTs can only be of type SA and PGA

  2. the source model cannot contain mutually exclusive sources (i.e. you cannot compute the conditional spectrum for the Japan model)

An example can be found in the engine repository, in the directory openquake/qa_tests_data/conditional_spectrum/case_1. If you run it, you will get something like the following:

$ oq engine --run job.ini
...
 id | name
261 | Full Report
262 | Hazard Curves
260 | Mean Conditional Spectra
263 | Realizations
264 | Uniform Hazard Spectra

Exporting the output 260 will produce two files conditional-spectrum-0.csv and conditional-spectrum-1.csv; the first will refer to the first poe, the second to the second poe. Each file will have a structure like the following:

 #,,,,"generated_by='OpenQuake engine 3.13.0-gitd78d717e66', start_date='2021-10-13T06:15:20', checksum=3067457643, imls=[0.99999, 0.61470], site_id=0, lon=0.0, lat=0.0"
sa_period,val0,std0,val1,std1
0.00000E+00,1.02252E+00,2.73570E-01,7.53388E-01,2.71038E-01
1.00000E-01,1.99455E+00,3.94498E-01,1.50339E+00,3.91337E-01
2.00000E-01,2.71828E+00,9.37914E-09,1.84910E+00,9.28588E-09
3.00000E-01,1.76504E+00,3.31646E-01,1.21929E+00,3.28540E-01
1.00000E+00,3.08985E-01,5.89767E-01,2.36533E-01,5.86448E-01

The number of columns will depend from the number of sites. The conditional spectrum calculator, like the disaggregation calculator, is meant to be run on a very small number of sites, normally one. In this example there are two sites 0 and 1 and the columns val0 and val give the value of the conditional spectrum on such sites respectively, while the columns std0 and std1 give the corresponding standard deviations.

Conditional spectra for individual realizations are also computed and stored for debugging purposes, but they are not exportable.

Event Based and Scenarios#

Scenario risk calculations usually do not pose a performance problem, since they involve a single rupture and limited geographical region for analysis. Some event-based risk calculations, however, may involve millions of ruptures and exposures spanning entire countries or even continents. This section offers some practical tips for running large event-based risk calculations, especially ones involving large logic trees, and proposes techniques that might be used to make an otherwise intractable calculation tractable.

Understanding the hazard#

Event-based calculations are typically dominated by the hazard component (unless there are lots of assets aggregated on a few hazard sites) and therefore the first thing to do is to estimate the size of the hazard, i.e. the number of GMFs that will be produced. Since we are talking about a large calculation, first of all, we need to reduce it to a size that is guaranteed to run quickly. The simplest way to do that is to reduce the parameters directly affecting the number of ruptures generated, i.e.

  • investigation_time

  • ses_per_logic_tree_path

  • number_of_logic_tree_samples

For instance, if you have ses_per_logic_tree_path = 10,000 reduce it to 10, run the calculation and you will see in the log something like this:

[2018-12-16 09:09:57,689 #35263 INFO] Received
{'gmfdata': '752.18 MB', 'hcurves': '224 B', 'indices': '29.42 MB'}

The amount of GMFs generated for the reduced calculation is 752.18 MB; and since the calculation has been reduced by a factor of 1,000, the full computation is likely to generate around 750 GB of GMFs. Even if you have sufficient disk space to store this large quantity of GMFs, most likely you will run out of memory. Even if the hazard part of the calculation manages to run to completion, the risk part of the calculation is very likely to fail — managing 750 GB of GMFs is beyond the current capabilities of the engine. Thus, you will have to find ways to reduce the size of the computation.

A good start would be to carefully set the parameters minimum_magnitude and minimum_intensity:

  • minimum_magnitude is a scalar or a dictionary keyed by tectonic region; the engine will discard ruptures with magnitudes below the given thresholds

  • minimum_intensity is a scalar or a dictionary keyed by the intensity measure type; the engine will discard GMFs below the given intensity thresholds

Choosing reasonable cutoff thresholds with these parameters can significantly reduce the size of your computation when there are a large number of small magnitude ruptures or low intensity GMFs being generated, which may have a negligible impact on the damage or losses, and thus could be safely discarded.

For instance, at the time of this writing (summer 2024) the hazard model for South America (SAM) contains 539,831 sites and a full realistic simulation for 100,000 years without setting minimum_magnitude and minimum_intensity would be impossible, generating an estimated 3.5 TB of ground motion fields. In order to give this estimate, the trick is to reduce the effective investigation time to something manageable (say 1000 years), run the calculation and measure the size of the generated GMFs. The numbers are as follows:

eff_time = 1000
num_events = 159_559
num_ruptures = 151_119
mean mag = 4.50
gmf_data = 35.04 GB
time(event_based) = 3_725

It is clear that the calculation is dominated by the small magnitude ruptures which however are expected to have a minimum impact on the damage. Usually we consider a minimum_magnitude of 5; with this setting the situation improves drastically:

eff_time = 1000
minimum_magnitude = 5
num_events = 20_514
num_ruptures = 20_381
mean mag = 5.68
gmf_data = 4.39 GB
time(event_based) = 467

We produce 8x less events and 8x less GMFs in 8x less time. Most sites, however, are affected by very small shaking values, so setting minimum_intensity will reduce a lot more the size of the GMFs (6.5x):

eff_time = 1000
minimum_magnitude = 5
minimum_intensity = .05
num_events = 20_514
num_ruptures = 20_381
mean mag = 5.68
gmf_data = 0.67 GB
time(event_based) = 439

In this example with 1000 years setting minimum_magnitude and minimum_intensity reduced the size of the generated GMFs by 8 * 6.5 = 52 times (!) In the realistic case of 100,000 years the saving will be even larger, i.e. you can easily gain two orders of magnitude in the size of the generated GMFs. It is not only that: setting those parameters can make the difference between being able to run the calculation and running out of memory. This is why, starting from engine v1.21, such parameters are mandatory except in toy calculations.

region_grid_spacing#

In our experience, the most common error made by our users is to compute the hazard at the sites of the exposure. The issue is that it is possible to have exposures with millions of assets on millions of distinct hazard sites. Computing the GMFs for millions of sites is hard or even impossible (there is a limit of 4 billion rows on the size of the GMF table in the datastore). Even in the cases when computing the hazard is possible, then computing the risk starting from an extremely large amount of GMFs will likely be impossible, due to memory/runtime constraints.

The second most common error is using an extremely fine grid for the site model. Remember that if you have a resolution of 250 meters, a square of 250 km x 250 km will contain one million sites, which is definitely too much. The engine was designed when the site models had resolutions around 5-10 km, i.e. of the same order of the hazard grid, while nowadays the vs30 fields have a much larger resolution.

Both problems can be solved in a simple way by specifying the region_grid_spacing parameter. Make it large enough that the resulting number of sites becomes reasonable and you are done. You will lose some precision, but that is preferable to not being able to run the calculation. You will need to run a sensitivity analysis with different values of region_grid_spacing parameter to make sure that you get consistent results, but that’s it.

Once a region_grid_spacing is specified, the engine computes the convex hull of the exposure sites and builds a grid of hazard sites, associating the site parameters from the closest site in the site model and discarding sites in the region where there are no assets (i.e. more distant than region_grid_spacing * sqrt(2)). The precise logic is encoded in the function openquake.commonlib.readinput.get_sitecol_assetcol, if you want to know the specific implementation details.

Our recommendation is to use the command oq prepare_site_model to apply such logic before starting a calculation and thus producing a custom site model file tailored to your exposure (see the section prepare_site_model).

Collapsing of branches#

When one is not interested in the uncertainty around the loss estimates and cares more about the mean estimates, all of the source model branches can be “collapsed” into one branch. Using the collapsed source model should yield the same mean hazard or loss estimates as using the full source model logic tree and then computing the weighted mean of the individual branch results.

Similarly, the GMPE logic tree for each tectonic region can also be “collapsed” into a single branch. Using a single collapsed GMPE for each TRT should also yield the same mean hazard estimates as using the full GMPE logic tree and then computing the weighted mean of the individual branch results. This has become possible through the introduction of AvgGMPE feature in version 3.9.

Splitting the calculation into subregions#

If one is interested in propagating the full uncertainty in the source models or ground motion models to the hazard or loss estimates, collapsing the logic trees into a single branch to reduce computational expense is not an option. But before going through the effort of trimming the logic trees, there is an interim step that must be explored, at least for large regions, like the entire continental United States. This step is to geographically divide the large region into logical smaller subregions, such that the contribution to the hazard or losses in one subregion from the other subregions is negligibly small or even zero. The effective realizations in each of the subregions will then be much fewer than when trying to cover the entire large region in a single calculation.

Trimming of the logic-trees or sampling of the branches#

Trimming or sampling may be necessary if the following two conditions hold:

  1. You are interested in propagating the full uncertainty to the hazard and loss estimates; only the mean or quantile results are not sufficient for your analysis requirements, AND

  2. The region of interest cannot be logically divided further as described above; the logic-tree for your chosen region of interest still leads to a very large number of effective realizations.

Sampling is the easier of the two options now. You only need to ensure that you sample a sufficient number of branches to capture the underlying distribution of the hazard or loss results you are interested in. The drawback of random sampling is that you may still need to sample hundreds of branches to capture well the underlying distribution of the results.

Trimming can be much more efficient than sampling, because you pick a few branches such that the distribution of the hazard or loss results obtained from a full-enumeration of these branches is nearly the same as the distribution of the hazard or loss results obtained from a full-enumeration of the entire logic-tree.

Extra tips specific to event based calculations#

Event based calculations differ from classical calculations because they produce visible ruptures, which can be exported and made accessible to the user. In classical calculations, instead, the underlying ruptures only live in memory and are normally not saved in the datastore, nor are exportable. The limitation is fundamentally a technical one: in the case of an event based calculation only a small fraction of the ruptures contained in a source are actually generated, so it is possible to store them. In a classical calculation all ruptures are generated and there are so many millions of them that it is impractical to save them, unless there are very few sites. For this reason they live in memory, they are used to produce the hazard curves and immediately discarded right after. The exception if for the case of few sites, i.e. if the number of sites is less than the parameter max_sites_disagg which by default is 10.

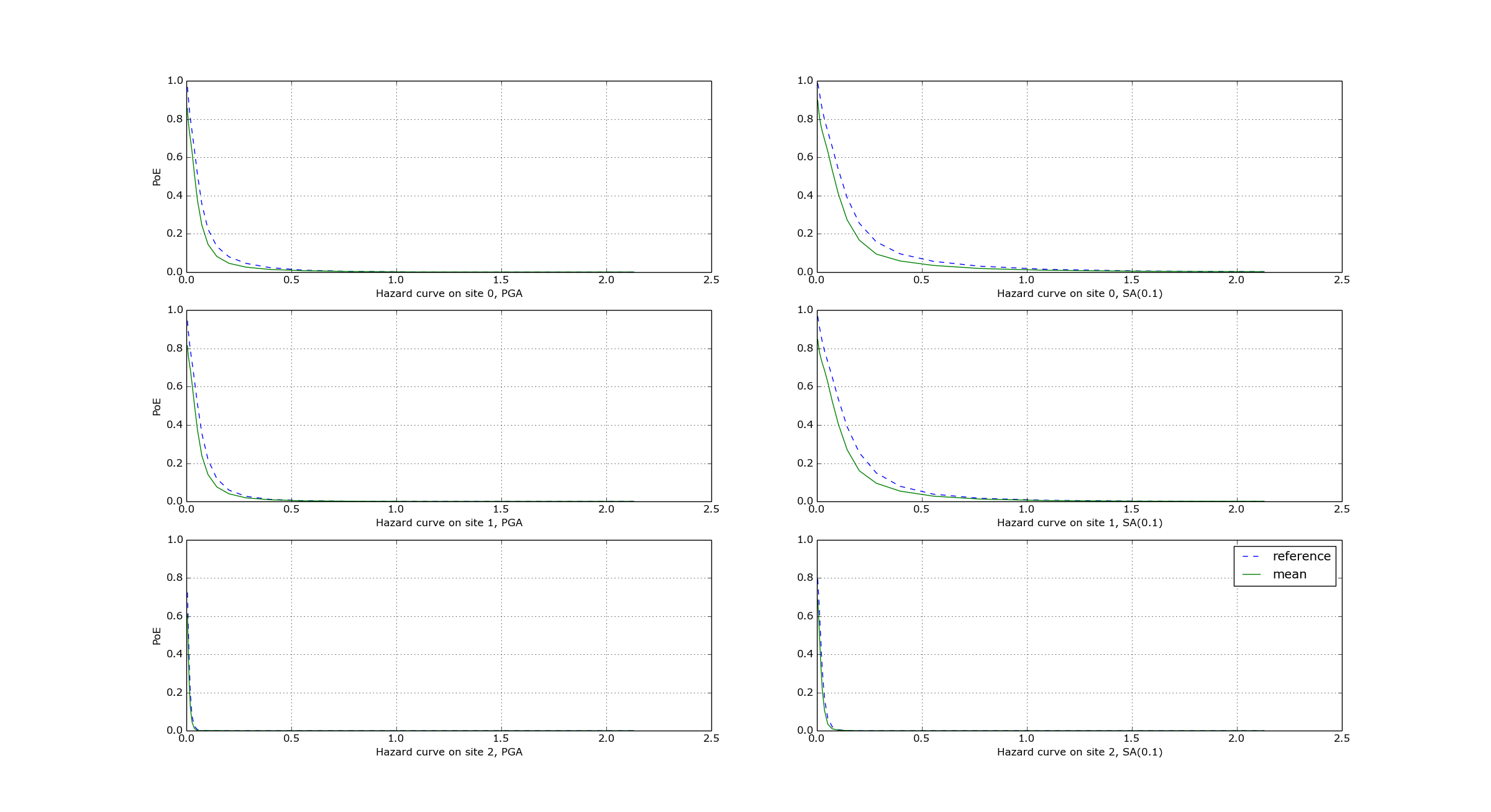
Convergency of the GMFs for non-trivial logic trees#

In theory, the hazard curves produced by an event based calculation should converge to the curves produced by an equivalent classical calculation. In practice, if the parameters number_of_logic_tree_samples and ses_per_logic_tree_path (the product of them is the relevant one) are not large enough they may be different. The engine is able to compare the mean hazard curves and to see how well they converge. This is done automatically if the option mean_hazard_curves = true is set. Here is an example of how to generate and plot the curves for one of our QA tests (a case with bad convergence was chosen on purpose):

$ oq engine --run event_based/case_7/job.ini
<snip>
WARNING:root:Relative difference with the classical mean curves for IMT=SA(0.1): 51%
WARNING:root:Relative difference with the classical mean curves for IMT=PGA: 49%
<snip>
$ oq plot /tmp/cl/hazard.pik /tmp/hazard.pik --sites=0,1,2
../../_images/ebcl-convergency.png

The relative difference between the classical and event based curves is computed by computing the relative difference between each point of the curves for each curve, and by taking the maximum, at least for probabilities of exceedence larger than 1% (for low values of the probability the convergency may be bad). For the details I suggest you to look at the code.

Risk profiles#

The OpenQuake engine can produce risk profiles, i.e. estimates of average losses and maximum probable losses for all countries in the world. Even if you are interested in a single country, you can still use this feature to compute risk profiles for each province in your country.

However, the calculation of the risk profiles is tricky. Starting from version 3.25 the recommended way is to first generate a common stochastic event set and then run all calculations starting from it. In this way events and ruptures are consistent for all countries.

You can compute the common stochastic event set by running an event based calculation without specifying the sites and with the parameter ground_motion_fields set to false. Currently, one must specify a few global site parameters in the precalculation to make the engine checker happy, but they will not be used since the ground motion fields will not be generated in the precalculation. The ground motion fields will be generated on-the-fly in the subsequent individual country calculations, but not stored in the file system.

Here are some tips on how to prepare the required job.ini files. To be concrete, let’s consider the 13 countries of South America. You will have a hazard file to generate the Stochastic Event Set (SES) as follows:

$ cat job_SAM.ini
calculation_mode = event_based
source_model_logic_tree_file = ssmLT.xml
gsim_logic_tree_file = gmmLTrisk.xml
site_model_file =
   Site_model_Argentina.csv
   Site_model_Bolivia.csv
   ...
ground_motion_fields = false
number_of_logic_samples = 2000
ses_per_logic_tree_path = 1
investigation_time = 50
truncation_level = 3
maximum_distance = 300

Notice that the site model files will not be used directly, since there is no calculation of the GMFs involved in this phase. However, the site model files will be imported and then the subsequent risk calculations will be able to associate the exposure sites to the hazard sites and to use the closest site parameters.

The engine will automatically concatenate the site model files for all 13 countries and produce a single site collection. It is FUNDAMENTAL FOR PERFORMANCE to have reasonable site model files, i.e. you should not compute the hazard at the location of every single asset, but rather you should use a variable-size grid fitting the exposure.

The engine provides a command oq prepare_site_model which is meant to generate sensible site model files starting from the country exposures and the global USGS vs30 grid. It works by using a hazard grid so that the number of sites can be reduced to a manageable number. Please refer to the manual in the section about the oq commands to see how to use it, or try oq prepare_site_model --help.

For reference, we were able to compute the hazard for all of South America on a grid of half million sites and 1 million years of effective time in a few hours in a machine with 120 cores, generating half terabyte of GMFs.

Then you will have 13 different risk files with a format like the following:

$ cat job_Argentina.ini
calculation_mode = event_based_risk
exposure_file = Exposure_Argentina.xml
structural_vulnerability_file = vulnerability.xml
...
$ cat job_Bolivia.ini
calculation_mode = event_based_risk
exposure_file = Exposure_Bolivia.xml
structural_vulnerability_file = vulnerability.xml
...

It should be mentioned that you are not forced to use a risk file for each contry. In theory you could run the entire South America in a single calculation, by simply specifying the exposure_file as follows:

exposure_file =
  Exposure_Argentina.xml
  Exposure_Bolivia.xml
  ...

The engine will automatically build a single asset collection for the entire continent of South America. In order to use this approach, you need to collect all the vulnerability functions in a single file and the taxonomy mapping file must cover the entire exposure for all countries. Moreover, the exposure must contain a field specifying the country (in GEM’s exposure models, this is typically encoded in a field called ID_0). Then the aggregation by country can be done with the option

aggregate_by = ID_0

There are however disadvantages of the single file approach:

  1. if only the exposure of a country change, and not the others, you still have to recompute everything

  2. for continental scale calculations it is very likely to run out of memory, so splitting by contry can be the only viable option.

Sometimes, one is interested in finer aggregations, for instance by country and also by occupancy (Residential, Industrial or Commercial); then you have to set

aggregate_by = ID_0, OCCUPANCY
reaggregate_by = ID_0

reaggregate_by is a new feature of engine 3.13 which allows to go from a finer aggregation (i.e. one with more tags, in this example 2) to a coarser aggregation (i.e. one with fewer tags, in this example 1). Actually the command oq reaggregate has been there for more than one year; the new feature is that it is automatically called at the end of a calculation, by spawning a subcalculation to compute the reaggregation. Without reaggregate_by the aggregation by country would be lost, since only the result of the finer aggregation would be stored.

Caveat: GMFs are split-dependent#

You should understand that splitting a calculation by countries is a tricky operation. In general, if you have a set of sites and you split it in disjoint subsets, and then you compute the ground motion fields for each subset, you will get different results than if you do not split.

To be concrete, if you run a calculation for Chile and then one for Argentina, you will get different results than running a single calculation for Chile+Argentina, even if you have precomputed the ruptures for both countries, even if the random seeds are the same and even if there is no spatial correlation. Many users are surprised but this fact, but it is obvious if you know how the GMFs are computed. Suppose you are considering 3 sites in Chile and 2 sites in Argentina, and that the value of the random seed in 123456: if you split, assuming there is a single event, you will produce the following 3+2 normally distributed random numbers:

>>> np.random.default_rng(123456).normal(size=3)  # for Chile
array([ 0.1928212 , -0.06550702,  0.43550665])
>>> np.random.default_rng(123456).normal(size=2)  # for Argentina
array([ 0.1928212 , -0.06550702])

If you do not split, you will generate the following 5 random numbers instead:

>>> np.random.default_rng(123456).normal(size=5)
array([ 0.1928212 , -0.06550702,  0.43550665,  0.88235875,  0.37132785])

They are unavoidably different. You may argue that not splitting is the correct way of proceeding, since the splitting causes some random numbers to be repeated (the numbers 0.1928212 and -0.0655070 in this example) and actually breaks the normal distribution.

In practice, if there is a sufficiently large event-set and if you are interested in statistical quantities, things work out and you should see similar results with and without splitting. But you will never produce identical results. Only the classical calculator does not depend on the splitting of the sites, for event based and scenario calculations there is no way out.

Understanding the SES file#

The command

$ oq shell openquake.engine.global_ses <mosaic_dir> ses.hdf5

is able to take multiple hazard models and build a single file containing ruptures coming from all the models without double counting. There is clearly a risk of double counting if the same source is included in two different mosaic models and therefore the engine generates the same ruptures twice. However the command is smart enough to discard duplicated ruptures.

The generated ses.hdf5 file contains all the ruptures from all the models into a single dataset which is a structured array. In particular there is a model field telling by which model each rupture was generated.

There is also a field called trt_smr that contains information about the tectonic region type and the source model realization to which the rupture belongs. Extracting such information is a digestible format requires some work and knowledge of the internals of the engine.

Here we will give an explanation. Let’s start by saying that the engine has a limit of at most 256 tectonic region types, therefore 1 byte is enough to identify a tectonic region type. The engine has also a limit of 2^24 = 16,777,216 source model realizations, therefore 3 bytes are enough to identify uniquely a source model realization. Therefore with a 32 bit integer (4 bytes) we can identify uniquely both the tectonic region type and the source model realization. That 32 bit integer is called trt_smr and can be used to extract the trt index and the smr index as follows:

trt, smr = divmod(trt_smr, 2**24)

From the trt index one can extract the tectonic region type as follows:

full_lt.trts[trt]

From the smr index one can extract the source model realization as follows:

full_lt.sm_rlzs[smr]

You can visualize sm_rlzs for a given model as follows:

$ oq show sm_rlzs:JPN ses.hdf5
| ordinal | lt_path | value               | samples | weight |
|---------+---------+---------------------+---------+--------|
| 0       | b11     | ['ssm/nied_50.xml'] | 2_000   | 1.0000 |

The full_lt objects can be extracted from the datastore, one for each model. A Python script should get you started:

from openquake.baselib import sap, hdf5
TWO24 = 2 ** 24

def main(ses_hdf5):
    """
    Count the ruptures by model and TRT
    """
    with hdf5.File(ses_hdf5) as f:
        ruptures = f['ruptures'][:]
        for model in f['full_lt']:
            full_lt = f['full_lt/' + model]
            rups = ruptures[ruptures['model'] == model.encode('ascii')]
            trt_indices = rups['trt_smr'] // TWO24
            for i, trt in enumerate(full_lt.trts):
                print(model, trt, (trt_indices==i).sum())

if __name__ == '__main__':
    sap.run(main)